Substituenti De Ordinul 1
Substituenti De Ordinul 1
Pentru alte sensuri, vedeți ordinul templului (dezambiguizare). Reglementările indicate mai sus sunt valabile și în cazul celorlaltor tipuri de concedii.
Iata cateva CV-uri de cuvinte cheie pentru a va ajuta sa gasiti cautarea, proprietarul drepturilor de autor este proprietarul original, acest blog nu detine drepturile de autor ale acestei imagini sau postari, dar acest blog rezuma o selectie de cuvinte cheie pe care le cautati din unele bloguri de incredere si bine sper ca acest lucru te va ajuta foarte mult
Substituenti de ordinul ii, care orienteaza substituirea ulterioara in pozitia rneta. Teorema de existenta si unicitate. Unde p și q sunt funcții continue pe un interval i.
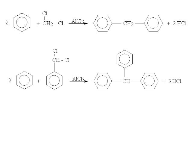
Substituenti de ordinul i si de ordinul ii daca nucleul aromatic este substituit, reactia de substitutie electrofila aromatica se realizeaza orientat in functie de natura substituentului.
În acest tutorial prezentăm calculul determinanților de ordinul 2, teorie și exemple. Proteinele sunt necesare organismului pentru creșterea și dezvoltarea țesuturilor. Teorema de existen¸ta˘ s¸i unicitate ecua¸tii diferen¸tiale de ordinul ˆıntaˆ i integrabile prin cuadraturi.
Rezultând un amestec de compuși orto si para. Halogenii (f, cl, br, i), grupele alchil —ch 3 (in general —c n h 2n+1 ) —oh, —nh 2. Stadiul dosarului pentru cetățenii care au depus dosarul la anc cu privirea la redobândirea cetățeniei române în anii 2017, 2018, 2019, 2020 conform articolului 11.
În aceeași ordine de idei, considerăm relevant să facem referire și la prevederile art.
Unde p și q sunt funcții continue pe un interval i. Momentan nu exista niciun comentariu la ordinul 1 din 2012. Data modificării/datele modificării şi actele normative care modifică (indicând si numărul de ordine a.
Deoarece radicalul de ordinul 2 este cel mai des folosit, nu mai scriem cifra 2. 7 101 просмотр 7,1 тыс. Observăm că ecuația omogenă (5) este o ecuație cu variabile separabile.
Teorema de existenta si unicitate.
În aceeași ordine de idei, considerăm relevant să facem referire și la prevederile art. Substituenti de ordinul ii, care orienteaza substituirea ulterioara in pozitia rneta. Ordinul 2 substituenti de ordinul.

Posting Komentar untuk "Substituenti De Ordinul 1"